Постановление Администрации города №258-п от 21.02.2019 "Об утверждении документации по проекту межевания территории части кадастрового квартала 40:27:040201, включающей в себя земельный участок с кадастровым номером 40:27:040201:124 и земли, государственная собственность на которые не разграничена" (скачать)
Заключение о результатах публичных слушаний по проекту постановления Администрации города «Об утверждении документации по проекту межевания территории части кадастрового квартала 40:27:040201, включающей в себя земельный участок с кадастровым номером 40:27:040201:124 и земли, государственная собственность на которые не разграничена» (скачать)
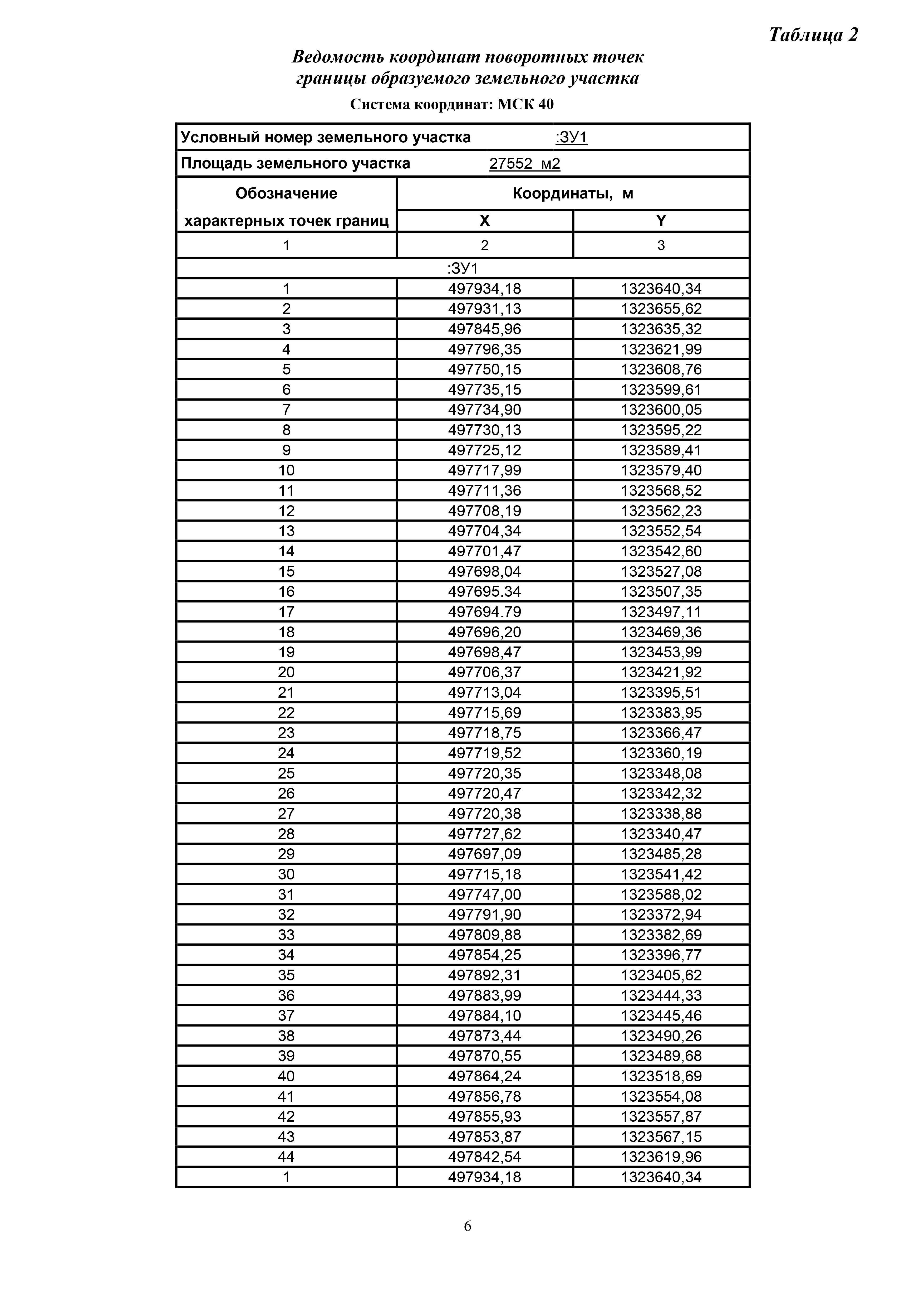
Чертеж межевания территории. Основная часть (скачать)

Чертеж межевания территории. Материалы по обоснованию (скачать)
